Strength athletes train better with citrulline malate
Take 8 g citrulline malate before pumping iron and you'll manage more reps per set. The more sets you manage, the bigger the effect of supplementation, sports scientists at the University of Cordoba, Spain, discovered when they did experiments with bodybuilders.
Citrulline malate was a popular supplement among cyclists in the seventies and eighties. And going by the stories it worked too. Hardly surprising if you look at what physiology textbooks have to say.
Citrulline converts slowly in the body into arginine, an amino acid that is released as proteins break down. One of the end products of this breakdown is ammonia. High amounts of ammonia in your blood make you tired and prevent glucose being turned into energy. If you take citrulline or arginine, your body removes the ammonia more quickly from your blood.
Malic acid or apple acid is released during the citric acid cycle. It prevents muscle cells from making lactic acid and stimulates the production of pyruvate, which supplies energy.
Both arginine and malate enable muscle cells to produce aerobic energy for longer, and delay the moment at which hardworking muscle cells resort to their ATP.
In theory. There is little research that actually confirms this. Researchers don't even know if and how citrulline malate improves strenght athletes' workouts.
That's why the Spaniards conducted an experiment. They got bodybuilders to train their chest muscles by doing 16 sets in one go, on one occasion after taking a placebo [PLAC], and on another one hour after taking 8 g citrulline malate [CM].
The test subjects started with 4 sets of bench presses at 80 percent of the weight at which they could just manage 1 rep [S1 – S4]. Then they did 4 sets of incline bench presses [S5 – S8], followed by 4 sets of flies [S9 – S12] and finally 4 sets of bench presses [S'1 – S'4]. All sets were done to failure: the bodybuilders did as many reps per set as they could. That's overdoing it if you aren't using any forbidden substances, but guarantees muscle exhaustion.
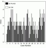
As the training progressed, the effect of the supplement became clearer. The bodybuilders who had taken citrulline malate managed more reps. The figure below shows the number of reps the bodybuilders managed during set S3. And the figure below that shows the reps they made during set S’4, the very last set of the training session.
*
In set S1, 8 of the 41 subjects managed more reps after taking citrulline malate. For 30 subjects the supplement made no difference, and 3 performed worse. In set S'4, the last set of the chest training,*all*subjects who had taken citrulline malate managed more reps.
The table below shows the percentage increase in the number of reps as a result of taking citrulline malate.
What’s more, you'll notice that citrulline malate also reduces muscle soreness. This would seem to indicate that citrulline malate reduces muscle soreness caused by training. This is important: in theory citrulline malate could*increase*muscle pain because it stimulates the conversion of protein into glucose in the muscle cells. But apparently this doesn't happen.
The citrulline malate did have mild side effects. Fifteen percent of the subjects complained of stomach ache.
Source:*
J Strength Cond Res. 2010 May; 24(5): 1215-22.



Take 8 g citrulline malate before pumping iron and you'll manage more reps per set. The more sets you manage, the bigger the effect of supplementation, sports scientists at the University of Cordoba, Spain, discovered when they did experiments with bodybuilders.
Citrulline malate was a popular supplement among cyclists in the seventies and eighties. And going by the stories it worked too. Hardly surprising if you look at what physiology textbooks have to say.
Citrulline converts slowly in the body into arginine, an amino acid that is released as proteins break down. One of the end products of this breakdown is ammonia. High amounts of ammonia in your blood make you tired and prevent glucose being turned into energy. If you take citrulline or arginine, your body removes the ammonia more quickly from your blood.
Malic acid or apple acid is released during the citric acid cycle. It prevents muscle cells from making lactic acid and stimulates the production of pyruvate, which supplies energy.
Both arginine and malate enable muscle cells to produce aerobic energy for longer, and delay the moment at which hardworking muscle cells resort to their ATP.
In theory. There is little research that actually confirms this. Researchers don't even know if and how citrulline malate improves strenght athletes' workouts.
That's why the Spaniards conducted an experiment. They got bodybuilders to train their chest muscles by doing 16 sets in one go, on one occasion after taking a placebo [PLAC], and on another one hour after taking 8 g citrulline malate [CM].
The test subjects started with 4 sets of bench presses at 80 percent of the weight at which they could just manage 1 rep [S1 – S4]. Then they did 4 sets of incline bench presses [S5 – S8], followed by 4 sets of flies [S9 – S12] and finally 4 sets of bench presses [S'1 – S'4]. All sets were done to failure: the bodybuilders did as many reps per set as they could. That's overdoing it if you aren't using any forbidden substances, but guarantees muscle exhaustion.
As the training progressed, the effect of the supplement became clearer. The bodybuilders who had taken citrulline malate managed more reps. The figure below shows the number of reps the bodybuilders managed during set S3. And the figure below that shows the reps they made during set S’4, the very last set of the training session.
*
In set S1, 8 of the 41 subjects managed more reps after taking citrulline malate. For 30 subjects the supplement made no difference, and 3 performed worse. In set S'4, the last set of the chest training,*all*subjects who had taken citrulline malate managed more reps.
The table below shows the percentage increase in the number of reps as a result of taking citrulline malate.
What’s more, you'll notice that citrulline malate also reduces muscle soreness. This would seem to indicate that citrulline malate reduces muscle soreness caused by training. This is important: in theory citrulline malate could*increase*muscle pain because it stimulates the conversion of protein into glucose in the muscle cells. But apparently this doesn't happen.
The citrulline malate did have mild side effects. Fifteen percent of the subjects complained of stomach ache.
Source:*
J Strength Cond Res. 2010 May; 24(5): 1215-22.











